| CAMPEÕES DO PASSADO E DO PRESENTE - JOSÉ A. TOMAZ |
03/06/2010 |
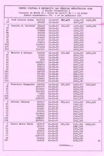
EM 1978 ERA ASSIM NA SECÇÃO ALBA

NAS CLASSIFICAÇÕES - A colectividade distribuia já nesta altura uma classificação SEMANAL a cada sócio - ESPAÇO PARA RELEMBRAR ALGUNS NOMES, SENDO QUE ALGUNS SÃO NOMES DO PASSADO E DO PRESENTE. Pela Direcção assinava um senhor da columbofilia, que eu considero PATRIMÓNIO DAS POMBAS CORREIAS DE PORTUGAL - GERMANO SILVA
POR SER ADMIRADOR DO COLUMBOFILO MAS ACIMA DE TUDO DA SUA POSTURA PERANTE A COLUMBOFILIA, DESTACO TAMÉM AQUI O JOSE ALBERTO TOMAS, EXIBINDO ALGUMAS PÁGINAS ONDE É VISÍVEL A QUALIDADE DOS SEUS POMBOS, JÁ HÁ 32 ANOS ATRÁS



|